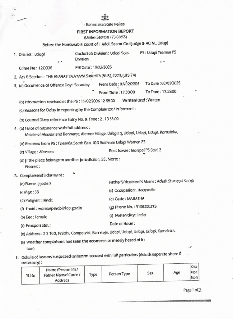
ಉಡುಪಿ: ಮಹಿಳಾ ಗ್ರಾಹಕಿಯೊಬ್ಬರೊಂದಿಗೆ ರಾಷ್ಟ್ರೀಯಕೃತ ಬ್ಯಾಂಕ್ ವೊಂದರ ಆದಿ ಉಡುಪಿ ಶಾಖೆಯ ಮ್ಯಾನೇಜರ್ ಅಸಭ್ಯವಾಗಿ ವರ್ತಿಸಿದ ಘಟನೆ ಫೆ. 7 ರಂದು ನಡೆದಿದೆ.

ಸಾಲದ ವಿಷಯವಾಗಿ ಚರ್ಚಿಸಬೇಕೆಂದು ತಿಳಿಸಿ ಮ್ಯಾನೇಜರ್ ತಮ್ಮನ್ನು ಕರೆಸಿಕೊಂಡಿದ್ದರು. ಬಳಿಕ ಕಾರಿನೊಳಗೆ ಅಸಭ್ಯವಾಗಿ ವರ್ತಿಸಿದ್ದಾರೆ ಎಂದು ದೂರುದಾರ ಮಹಿಳೆ ಆರೋಪಿಸಿದ್ದಾರೆ. ಈ ಘಟನೆಯಿಂದ ತಾವು ಮಾನಸಿಕವಾಗಿ ನೊಂದಿದ್ದು, ತಮ್ಮ ಘನತೆಗೆ ಧಕ್ಕೆಯುಂಟಾಗಿದೆ ಎಂದು ಅವರು ದೂರಿನಲ್ಲಿ ತಿಳಿಸಿದ್ದಾರೆ.

ಜ್ಯೋತಿ ಎಂಬ ಮಹಿಳೆಯು ನೀಡಿದ ದೂರಿನ ಮೇರೆಗೆ ಉಡುಪಿ ಮಹಿಳಾ ಪೊಲೀಸ್ ಠಾಣೆಯಲ್ಲಿ ಫೆ. 19 ರಂದು ಪ್ರಕರಣ ದಾಖಲಾಗಿದೆ.









